730
收藏
研晟考研,专注清华北大等985/211名校考研辅导,拥有完善的服务团队,专属定制化的考研备考规划,力争实现每位学子的考研梦、名校梦。
一.考试范围说明
818船舶与海洋工程基础综合,包括船舶力学基础(100分)、流体力学基础(50分)及控制理论基础(150分)三部分,共计300分。
考生依据自身专业优势,可以选考船舶力学基础(100分)和流体力学基础(50分),或者选考控制理论基础(150分)。三部分都进行答卷的考生,只计第一部分和第二部分成绩。
二.考试大纲
第一部分材料力学(共100分)
1、轴向拉伸与压缩
1)基本要求
(1)运用截面法求轴力,绘轴力图
(2)轴向拉、压杆的强度计算
(3)轴向拉、压时的虎克定律及变形、位移计算
(4)弹性模量E、横向变形系数μ、轴向拉、压时的变形能U
(5)材料力学性能的主要指标
(6)一次静不定杆的求解
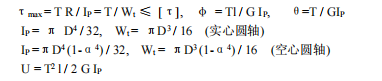
2)熟练运用的公式

2、圆轴扭转
1)基本要求
(1)运用截面法求圆轴的扭矩,绘扭矩图
(2)纯剪应力状态的概念,剪应力互等定理,剪切虎克定律
(3)圆轴扭转时的强度计算
(4)圆轴扭转时的变形计算
(5)圆轴扭转静不定问题的求解(一次静不定)
2)熟练运用的公式

3、梁的弯曲
1)弯曲内力
基本要求
(1)面法求指定截面上的剪力Q、弯矩M
(2)列Q、M方程,绘荷载较简单的梁的剪力、弯矩图
2)弯曲应力
基本要求
(1)梁的弯曲强度计算:弯曲正应力计算,弯曲剪应力计算,掌握强度计算的一般步骤
(2)几个重要的概念:纯弯曲、横力弯曲;中性层、中性轴;抗弯截面模量W、抗弯刚度EIZ
(3)截面的几何性质:静矩、惯性矩、极惯性矩的定义和概念;主轴、形心主轴和主惯性矩的概念;平行移轴公式
(4)弯曲变形能的计算
3)熟练运用的公式

4)弯曲变形
(1)基本要求
1.曲线近似微分方程的建立
2.掌握计算位移的积分法、叠加法;梁的刚度计算
3.掌握简单静不定梁的解法
(2)熟练运用的公式

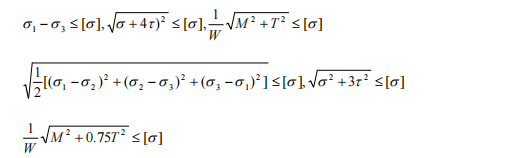
4、应力状态与强度理论
1)基本要求
(1)明确应力状态的概念及其研究方法
(2)掌握平面应力状态下,解析法和图解法求任意斜截面上的应力;熟练掌握主应力和最大剪应力的计算
(3)几个重要的概念:一点应力状态,平面应力状态,主平面,主单元体,主应力
(4)广义虎克定律.重点掌握平面应力状态下的广义虎克定律
(5)强度理论:第一、第三和第四强度理论
(6)运用强度理论对复杂受力构件进行强度校核
2)熟练运用的公式


5、组合变形
1)基本要求
(1)掌握构件组合变形时强度计算的基本原理,叠加原理
(2)正确判定构件在组合变形时的危险截面、危险点及危险点处应力值的计算组合变形:拉伸或压缩与弯曲的组合;偏心压缩;扭转与弯曲的组合(无扭转的组合变形,危险点处于单向应力状态;凡有扭转的组合变形,危险点处于复杂应力状态)
(3)根据危险点处的应力状态,正确选择并建立强度条件,掌握构件组合变形强度计算的一般步骤
2)熟练运用的公式

6、能量方法
1)基本要求
(1)掌握杆件变形能的计算:轴向拉压、圆轴扭转、梁的弯曲
(2)运用卡氏定理和单位载荷法(莫尔定理)计算结构指定点的位移
(3)用力法求解静不定结构(一次静不定问题)
2)熟练运用的公式
7、压杆稳定
1)基本要求
(1)理解失稳、临界力、临界应力、长度系数、柔度等基本概念
(2)计算细长杆临界力、临界应力的欧拉公式
(3)欧拉公式的适用范围,临界应力总图
(4)压杆稳定的实用计算;稳定条件;稳定计算
2)熟练运用的公式

第二部分流体力学基础(共50分)
1、流体的物理性质及流体静力学
(1)掌握连续介质假定的概念,流体基本性质包括密度、粘性的影响因素,作用在流体上的力及其方向;理解牛顿流体域非牛顿流体的区别。
(2)正确地计算作用在物体壁面上的流体静压力;
2、流体力学的基本方程
(1)正确理解、描述流体运动的两种方法,流体运动中定常流动、非定常流动、迹线与流线、均匀流与非均匀流、流管流量等基本概念;
(2)正确理解、描述流体连续方程、NS方程、伯努利方程、动量方程和动量矩方程各项的物理意义;
(3)能够运用连续方程、伯努利方程、动量方程和动量矩方程求解流体运动过程中的受力及流动参数;
3、管流和边界层概述
(1)掌握湍流边界层流、湍流的基本性质;
(2)掌握雷诺数、水头损失、湍流时均化的基本概念;
(3)掌握边界层的基本概念、流动分离的条件及其边界层流动的基本特征;
(4)正确地利用流体控制方程及水头损失的表达公式计算串联管、并联管的水头损失;
4、相似理论与量纲分析
(1)掌握几何相似、运动相似和动力相似的概念;
(2)理解并表述流体中相似数(雷诺数、傅汝德数、斯特罗哈尔书、欧拉数)的基本物理意义;
(3)能正确运用相似理论及量纲分析法分析具体问题。第三部分控制理论基础(共150分)
1、基本概念
1)基本要求
(1)了解系统的基本特性、动态模型和静态模型之间关系
(2)了解系统反馈概念
(3)了解闭环控制系统的工作原理
(4)能够绘制控制系统框图
(5)了解控制系统的要求
2、系统模型
1)基本要求
(1)运用动力学、电学及电机知识,写机械系统、电网络及传动系统的微分方程
(2)运用分析法求解系统的传递函数
(3)了解典型环节的特点、传递函数形式,运用传递函数方框图化简,求闭环系统传递函数
(4)运用叠加原理求干扰作用下系统的输出和传递函数
(5)了解相似原理
2)熟练运用的定理、公式
牛顿定理(力学)、基尔霍夫电流、电压定律、直流电机方程,基本拉普拉斯变换与反变换公式(含三角函数的不要求)、传度函数求解及化简公式
3、时间响应
1)基本要求
(1)了解时间响应的组成、运用系统特征根分析系统稳定性
(2)了解一阶系统对典型输入信号的响应特点
(3)掌握典型二阶系统的特点,单位脉冲响应、单位阶跃响应曲线及意义
(4)能够求解二阶系统性能指标
(5)掌握系统稳态误差的概念及求解方法
(6)能够分析系统的输入、系统的结构及干扰对系统误差的影响
2)熟练运用的公式
典型一阶系统单位脉冲及阶跃响应计算公式;典型二阶欠阻尼系统单位脉冲及阶跃响应计算公式,性能指标计算公式;典型输入误差系数计算公式、终值定理及稳态误差计算
4、频率特性
1)基本要求
(1)掌握频率响应、频率特性的概念
(2)能够求求取系统的频率响应、频率特性
(3)掌握Nyquist图、Bode图的概念及特点
(4)能够绘制典型系统的Nyquist图、Bode
(5)了解最小相位系统与非最小相位系统的概念
2)熟练运用的公式
谐振频率及峰值计算公式、系统截止带宽计算公式
5、系统稳定性
1)基本要求
(1)掌握稳定性概念、系统稳定的条件
(2)掌握劳斯判据、Nyquist判据、Bode判据、相位裕度及幅值裕度的概念
(3)运用劳斯判据、Nyquist判据判断系统稳定性及极点的分布情况
(4)运用Bode判据判断系统的稳定性,求取系统的相位裕度和幅值裕度
2)熟练运用的公式
相位裕度、幅值裕度计算公式、劳斯判据公式
6、系统校正
1)基本要求
(1)了解系统性能指标、校正的概念
(2)掌握系统校正的方法
(3)能够进行相位滞后、相位超前串联校正分析
(4)掌握PID校正的概念、物理意义
1)熟练运用的公式
相位滞后、相位超前串联校正补偿器、PID校正控制器
7、线性离散系统
1)基本要求
(1)理解信号采样过程,掌握采样定理、D/A及A/D转换器功能及原理
(1)掌握Z变换与Z反变换的概念,能求解典型系统的脉冲传递函数
(2)了解线性离散系统稳定性概念、和稳定性条件
(3)掌握w变换,运用劳斯判据判断系统稳定性
2)熟练运用的公式
基本Z变换及Z反变换公式,W变换公式、脉冲传递函数公式
8、系统辨识初步
1)基本要求
(1)系统辨识概念
(2)能够利用频率特性建立系统模型
2)熟练运用的公式
Bode图绘制及计算分析