447
收藏
研晟考研,专注清华北大等985/211名校考研辅导,拥有完善的服务团队,专属定制化的考研备考规划,力争实现每位学子的考研梦、名校梦。
3 集成运算放大电路(每小题 15 分,共 75 分)
(1)
①大功率型;②高速型;③通用型;④高精度型;⑤高阻型;⑥低功耗型;
⑦高压型。 3+2*6
(2)
① A1、A2、A3 均是负反馈放大电路。 3
② 因负反馈,每个放大器的输入端都可以视为虚短、虚断。
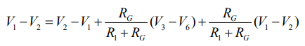
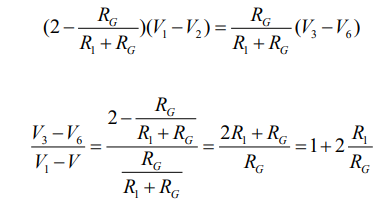
先看第一级放大, 6

所以

即

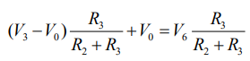
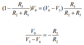
再看第二级放大, 2

即

因此,总的放大倍数 2

③ 前级是串联负反馈,输入阻抗很大;后级是电压负反馈,输出阻抗很小。2
(3)
① 均为 8V,应有简单推导或说明; 5
② 左图低于 8V 而右图维持 8V; 5
③ 亮度不同。左边电压降低,所以变暗。 5
(4)
响应曲线共 5 段。 3*5

(5)
① 因为放大器工作在负反馈状态下,两个输入端将都是 0 电位。所以,从输入
端向右看,与地之间的等效电阻为 R。 5
② 按照分流原理,从 Vi 流到 F 的电流是 IF = Vi/R/2+ Vi/R/8。 5
③ 而此电流从 F 端经反馈电阻流向输出端 Vo 处,因此 Vo = - IF*2R = -1.25Vi,
即放大倍数 -1.25 5